Recently, at the 2025 Academic Annual Conference of the Chinese Society of Engineering Thermophysics, Yuhang Sun from the Yu Cheng Liu research group (Department of Energy and Power Engineering & Center for Combustion Energy) delivered an oral presentation titled “Development of an Open-Source Multi-Component Droplet Combustion Simulation Tool and Study of the Influence of Mixture Composition Distribution on Droplet Combustion Characteristics.” The paper received the conference’s “Best Paper Award.”
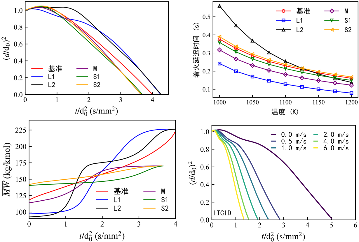
Petroleum-based fuels contain complex mixtures. During spray combustion, preferential evaporation is common, causing spatial-temporal non-uniformity of fuel composition in the combustor and strongly affecting macroscopic combustion performance. However, the community still lacks sufficient understanding of how mixture composition distribution influences single-droplet combustion, and convenient, efficient open-source simulation tools are missing. This study developed and open-sourced the multi-component droplet combustion code DropletPalette. Using surrogate fuel models for aviation kerosene RP-3 that share similar average molecular weights but exhibit markedly different composition distributions, the team systematically investigated how compositional distribution affects droplet evaporation and auto-ignition characteristics, and proposed a new fuel-model assessment tool—the Component Evaporation Intensity Map (CEIM).
Numerical simulations revealed the limitations of reduced surrogate models (3–5 components): even when their bulk properties match those of real fuels, their simplified composition distributions fail to reproduce the complex preferential evaporation process. Excessive volatility differences among components can cause “droplet evaporation relay failure,” making droplet evaporation deviate severely from the classical d²-law and distorting auto-ignition predictions. Applying such reduced models to spray-combustion simulations will bias transient gaseous combustion properties.

Figure 1 Limitations of reduced surrogate models in reproducing preferential evaporation of complex fuels)
To address the “droplet evaporation relay failure” phenomenon, the authors innovatively introduced the CEIM. Rooted in physical mechanisms, CEIM quantifies the linkage between light- and heavy-component evaporation intensities, enabling a priori and rapid diagnosis of potential relay failure and providing an intuitive criterion for screening and developing fuel surrogates.

Figure 2 Component Evaporation Intensity Map: assessing whether a surrogate will suffer droplet evaporation relay failure by quantifying the connection between light- and heavy-component evaporation intensities.
Yuhang Sun, a Ph.D. candidate at the Center for Combustion Energy, is the first author; Prof. Yu Cheng Liu is the corresponding author. Additional co-authors include Dr. Shuqing Chen, a recent Ph.D. graduate from the Liu group. The work was supported by the National Key R&D Program of China (2021YFA0716201) and the National Natural Science Foundation of China (52076117).

Figure 3 Yuhang Sun attended best paper award ceremony.
Provided by:Yu Cheng Liu's Group
Approved by: Yu Cheng Liu, Xiaoqing You